Container soils should have a good balance between air- porosity and water- holding capacity. But what are the favorable levels of these two parameters? Most horticulturists will recommend providing a soil with “good drainage”. But what exactly does that mean? How do we quantify that? If we know, then soil manufacturers can develop, standardize and describe soil mixes. Growers can select, develop or modify their own soil mixes for their particular needs.
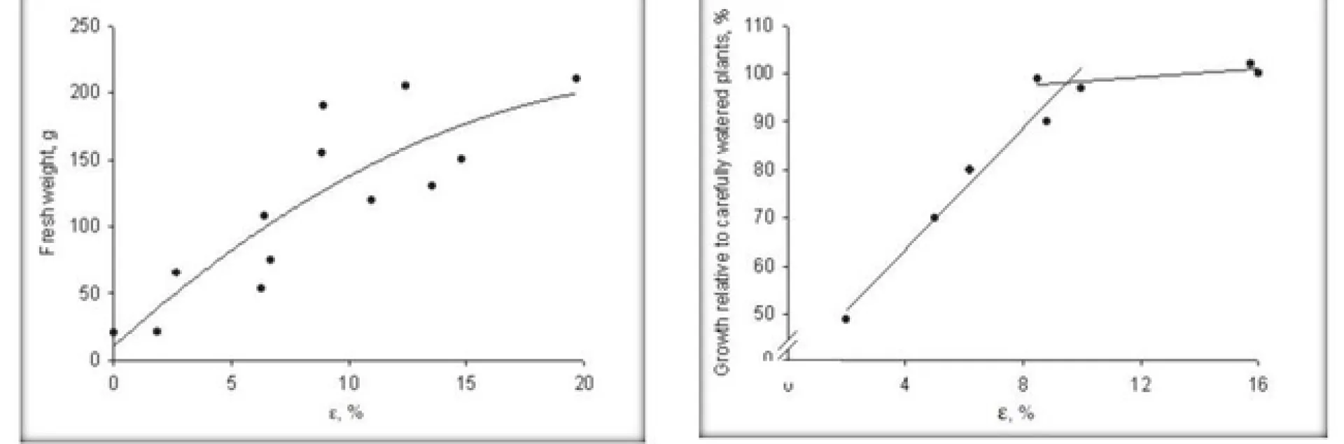
Let's start with air-filled porosity. There have been many experiments demonstrating that air-filled porosity is highly correlated with the growth of various plants. Here are two examples, Fig 1:

Some researchers reported that the rate of oxygen diffusion through the soil-- rather than air-filled porosity-- is more closely related to plant growth. This might be because the oxygen in the air pores has to move to the roots before it is absorbed and used by the roots. In general, these and similar studies have led to a recommendation that air-filled porosity should be at least 10% and generally no more than 25% of the total soil volume. Fig 2.

So a plants' requirements for soil aeration can vary, and here are some examples. Fig 3.

There are other consequences of having poor soil aeration. Soils with low oxygen or anaerobic conditions can lead to chemical reduction. Reduced forms of some chemicals, such as methane (CH4), hydrogen sulfide (H2S), nitrite (NO2-), and manganese ion (Mn2+), are toxic to plants. The latter is probably the most important. Plants growing in poorly aerated soil can have manganese levels as high as 1200 ppm in their leaves (normal levels are 50-200 ppm). These high levels lead to manganese toxicity, with symptoms of marginal leaf chlorosis (yellowing from loss of chlorophyll, the green pigment in leaves).
What about the water filled portion of the soil? The recommendation is that at least 40% of the total volume should be filled with water at container capacity (after full drainage). In general, container soils with a water-holding capacity of 40% would hold enough water to meet plant demand for about one day. Usually mixes have a higher water-holding capacity than this so that irrigation can be less frequent. Total porosity, air and water porosity combined, must therefore be greater or equal to 50%. These parameters are summarized in Fig 4.

Here are examples of 3 historically important container mixes. The “UC Mix” was the first “soil- less" mix, mostly developed for the outdoor nurseries. It provided the essential requirements for a container mix: Good water holding capacity and aeration, high permeability, relatively disease-free, resistant to salinity buildup, reasonable pH range, good nutrient holding capacity, and provided for enough weight of the container so plants would not blow over in the wind. The “Cornell Lite” mixes containing peat mixed with either vermiculite or perlite are excellent for greenhouse crop production, but they are too light for outdoor nurseries and more expensive because of the relatively high cost of vermiculite and perlite. Fig 5.

These soil physical properties are best measured by commercial or research soil laboratories. If you are buying soil mixes, ask if the provider has these measurements. In a pinch, growers can estimate the values with a relatively simple method that was described by James Altland when he was with Oregon State University. I have provided a simplified outline here. Fig 6. The full description of the method is provided in the attachment at the bottom of the page.

Next: Poor soil aeration can lead to some root diseases.
Figures and tables adapted from: Management of Container Media by Richard Evans, UC Davis, for the class, ENH 120. Porosity determination handout by James Altland (formerly Oregon State University, now with USDA ARS).