Multi-unit housing (MUH), such as apartment complexes and single-room occupancy (SRO) buildings, can harbor significant infestations of cockroaches, bed bugs, rodents, and other pests. Structural continuity (shared walls of adjacent units), budgetary constraints, poor maintenance and infrastructure, and cultural and social factors allow pests to infest and thrive in these environments.

Many of these pests threaten public health and wellbeing of the residents. For instance, German cockroaches (Blattella germanica) produce proteins that can be found in their feces and exoskeletons that, when dispersed into the air, can be inhaled, causing asthma in children.
Pest management is often conducted in response to complaints or after discovery of serious problems rather than proactively, especially in low-income communities. Proactive integrated pest management (IPM) programs that include regular monitoring of pests within every residential unit improve building-wide pest control and prevent significant infestations. These programs are labor-intensive, however, especially at the onset, and so may be considered too expensive by property owners and managers.
To show the effectiveness of proactive IPM and to investigate the relationship between cost and pest control, we partnered with affordable housing providers to provide one-year “IPM interventions” at two MUH sites in the San Francisco Bay Area: a 75-unit SRO building in Contra Costa County and a 59-unit low-income apartment complex in Santa Clara County. This work was led by Regional Asthma Management and Prevention, a program of the Public Health Institute, and sponsored by the California Department of Pesticide Regulation.
IPM Intervention Methodology
We worked with the pest control operators already in contract with the housing providers at the two sites and revised existing contracts to include unit-by-unit monitoring. The project included funds used to offset the increased costs associated with these revisions. Operators were asked to design programs that included monitoring for cockroaches and bed bugs in every unit at least once annually. When pests were detected, management tactics would be selected according to the pest densities observed, with the overall goals of eliminating pest populations and reducing pesticide exposure. Typically, baits were used against cockroaches and desiccants, spot treatments, vacuums, and whole-room heat treatments were used against bed bugs.

Independently, our team of researchers assessed pest incidence and density at three points during the one-year interventions: before IPM protocols were in place (baseline), roughly six months afterward (midpoint), and about one year afterward (final). At each monitoring period, we placed one glue trap behind the refrigerator and one pitfall trap in contact with the bed or sleeping surface for periods of one to two weeks. We also trained management, staff, and tenants on pest awareness, prevention, and reporting. Monthly costs associated with the pest control programs were calculated, including contract values, supplemental or add-on service values, and on-site staff effort hours. These costs were compared to monthly costs before the proactive IPM interventions began. Finally, surveys and interviews were conducted with residents and staff at the study sites to measure their relative satisfaction with the proactive IPM programs. Access to residential units required written notices delivered 24 hours before intended entry and accompaniment by on-site staff.
Study Results
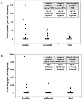
Bed bugs (Figure 1) were the primary pests at the Contra Costa County site while German cockroaches (Figure 2) were the primary pests at the Santa Clara County site. Other pests present at these sites included small flies (of the families Psychodidae, Phoridae, and Drosophilidae), rodents, and stored-product pests like meal moths and grain beetles. Baseline assessments revealed that more than 20% of the units inspected in Santa Clara County were infested with German cockroaches and that about 10% of the units in Contra Costa County were infested with bed bugs.

High-density infestations were addressed first, with heat treatments for bed bugs and high-volume gel bait applications for cockroaches. Several of these high-density infestations were only discovered due to the unit-by-unit proactive monitoring process.
Many residents refused our team's entry, especially during the baseline assessment in Contra Costa County. Participation and compliance improved markedly after an on-site education program for residents.
By the intervention's midpoint, pest density at both sites began to decrease (Figure 3), though pest incidence was largely unchanged. Incidence apparently increased since access to several infested units was only achieved several months after the intervention's onset. In these cases, distrusting residents gradually learned about the project's goals and about IPM through the resident education programs and eventually granted the team access to their units. The final pest assessment at the end of the one-year intervention showed continued decreases in pest density but relatively unchanged pest incidence at both sites (Figure 3). This means that the severe infestations (dozens to hundreds of cockroaches or bed bugs per unit) had been significantly decreased or eliminated but that a similar proportion of units were infested as had been at the beginning of the project. This may be very important for building-wide IPM since pests can disperse from high-density units to new units, usually those units next to or otherwise structurally continuous with the severe infestations. Overall, the pest control under the proactive IPM program was considered significantly more effective than the reactive programs previously in place.
Contract base values for the proactive IPM services increased significantly at both sites when compared to the reactive pest control services previously in place (Table 1). However, when considering the supplemental costs associated with add-on services, usually bed bug heat treatments not covered by the base contracts, monthly pest control costs decreased at both sites under the IPM programs (Table 1). In fact, monthly costs decreased by almost $1,000 at the Contra Costa County site, where a severe bed bug problem had been ongoing for many years prior to this project.
Site | Santa Clara County (59 units) | Contra Costa County (75 units) |
monthly service costs under reactive program | $ 350 ($ 5.93 per unit) | $ 240 ($ 3.20 per unit) |
annual supplementary costs under reactive program | $ 18,565 ($ 315 per unit) | $ 39,485 ($ 526 per unit) |
total annual costs under reactive program | $ 22,765 ($ 385 per unit) | $ 42,365 ($ 565 per unit) |
monthly service costs under IPM program | $ 450 ($ 7.63 per unit) | $ 360 ($ 4.80 per unit) |
annual supplementary costs under IPM program | $ 16,044 ($ 272 per unit) | $ 26,924 ($ 359 per unit) |
total annual costs under IPM program | $ 21,444($ 363 per unit) | $ 31,244 ($ 417 per unit) |
Annual Savings from IPM Program | $ 1,321 | $ 11,121 |
The majority of surveyed or interviewed residents (96% at the Contra Costa County site and 82% at the Santa Clara County site) reported being either “very satisfied” or “somewhat satisfied” with the pest management services being received, as compared with those in place before the intervention. About 87% of responding residents reported that they had received some educational materials about pests and IPM, and 93% of responding residents said that they would be likely to report pest sightings to management in the future. All staff interviewed reported that the IPM program was more effective, in their opinion, and that the unit-by-unit inspections allowed for more resident engagement surrounding pest control.
Overall, this project showed that proactive IPM programs that use regular unit-by-unit monitoring events can help detect unknown infestations, control severe infestations, reduce monthly costs, and satisfy on-site stakeholders. This result was somewhat unexpected, since IPM programs usually take more than one year to realize savings for MUH environments. In cases where expensive supplementary services, such as bed bug heat treatments, are common, however, savings under IPM programs may be realized very quickly.
[Originally featured in the Spring 2023 edition of the Green Bulletin Newsletter for structural and landscape pest professionals.]